Clocental
Structural formula
Ball-and-stick model of the clocental molecule
Clinical data
Other namesDolcental
Identifiers
  • (1-Ethynylcyclohexyl) N-carbamoylcarbamate
CAS Number
ChemSpider
UNII
CompTox Dashboard (EPA)
Chemical and physical data
FormulaC10H14N2O3
Molar mass210.233 g·mol−1
3D model (JSmol)
  • C#CC1(CCCCC1)OC(=O)NC(=O)N
  • InChI=1S/C10H14N2O3/c1-2-10(6-4-3-5-7-10)15-9(14)12-8(11)13/h1H,3-7H2,(H3,11,12,13,14) checkY
  • Key:CQVLNDZXTPGTFD-UHFFFAOYSA-N checkY

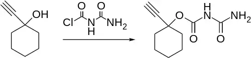
Clocental (dolcental) is a carbamate-derived sedative hypnotic. It can be prepared by the ethynylation of cyclohexanone followed by reaction with allophanyl chloride.[1]

Clocental synthesis

See also

References

  1. DE 959458, Grimme W, Emde H, "Verfahren zur Herstellung von Allophanaten von α-Äthinylcarbinolen [Process for the preparation of allophanates of α-ethynyl carbinols]", issued 7 March 1957, assigned to Rheinpreußen AG fuer Bergbau und Chemie


This article is issued from Wikipedia. The text is licensed under Creative Commons - Attribution - Sharealike. Additional terms may apply for the media files.