An aromatic amino acid is an amino acid that includes an aromatic ring.

Among the 20 standard amino acids, phenylalanine, tryptophan and tyrosine are classified as aromatic.[1] In some cases, histidine is included in the list of aromatic amino acids,[2] even though the aromaticity of the imidazole side chain is questionable.

Properties and function

Optical properties

Aromatic amino acids absorb ultraviolet light above and beyond 250 nm and will fluoresce under this condition. This characteristic is used in quantitative analysis, notably in determining the concentrations of these amino acids in solution.[3][4] Most proteins absorb at 280 nm due to the presence of aromatic amino acid residues. Of the aromatic amino acids, tryptophan has the highest extinction coefficient; its absorption maximum occurs at 280 nm. The absorption maximum of tyrosine occurs at 274 nm.[5]

Role in protein structure and function

Aromatic amino acids stabilize folded structures of many proteins.[6][7] Aromatic residues are found predominantly sequestered within the cores of globular proteins, although often comprise key portions of protein-protein or protein-ligand interaction interfaces on the protein surface.

Aromatic amino acids as precursors

Aromatic amino acids often serve as the precursors to other important biochemicals.

  1. Phenylalanine is the precursor to tyrosine.
  2. Tyrosine is the precursor to L-DOPA, dopamine, norepinephrine, and Epinephrine. It is also precursor to octopamine and melanin in numerous organisms.[8] Tyrosine is the precursor to the thyroid hormone thyroxine.
  3. Tryptophan is the precursor to 5-hydroxytryptophan and then serotonin, tryptamine, auxin, kynurenines, and melatonin.[8]

Biosynthesis

Shikimate pathway

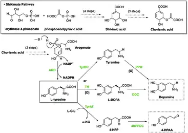
In plants, the shikimate pathway first leads to the formation of chorismate, which is the precursor of phenylalanine, tyrosine, and tryptophan. These aromatic amino acids are the derivatives of many secondary metabolites, all essential to a plant's biological functions, such as the hormones salicylate and auxin. This pathway contains enzymes that can be regulated by inhibitors, which can cease the production of chorismate, and ultimately the organism's biological functions. Herbicides and antibiotics work by inhibiting these enzymes involved in the biosynthesis of aromatic amino acids, thereby rendering them toxic to plants.[9] Glyphosate, a type of herbicide, is used to control the accumulation of excess greens. In addition to destroying greens, Glyphosate can easily affect the maintenance of the gut microbiota in host organisms by specifically inhibiting the 5-enolpyruvylshikinate-3-phosphate synthase which prevents the biosynthesis of essential aromatic amino acids. Inhibition of this enzyme results in disorders such as gastrointestinal diseases and metabolic diseases.[10]

Diagram of the Shikimate Pathway, and examples of amino acids serving as precursors.


Nutritional requirements

Animals obtain aromatic amino acids from their diet, but all plants and micro-organisms must synthesize their aromatic amino acids through the metabolically costly shikimate pathway in order to make them. Phenylalanine, tryptophan, and histidine are essential amino acids for animals. Since they are not synthesized in the human body, they must be derived from the diet. Tyrosine is semi-essential; therefore, it can be synthesized by the animal, but only from phenylalanine. Phenylketonuria, a genetic disorder that occurs as a result of the inability to breakdown phenylalanine, is due to a lack of the enzyme phenylalanine hydroxylase. A dietary lack of tryptophan can cause stunted skeletal development.[11] Excessive intake of aromatic amino acids far beyond levels obtained through normal protein consumption might lead to hypertension,[12] something which could go un-noticed for a long time in healthy individuals. It could be caused by other factors as well such as the use of various herbs and foods like chocolate which inhibit monoamine oxidase enzymes to varying degrees, and also some medications. Aromatic trace amines like tyramine can displace norepinephrine from peripheral monoamine vesicles and in people taking MAOIs this occurs to the extent of being life threatening. for Blue diaper syndrome is an autosomal recessive disease that is caused by poor tryptophan absorption in the body.

See also

References

  1. Parthasarathy A, Cross PJ, Dobson RC, Adams LE, Savka MA, Hudson AO (2018). "A Three-Ring Circus: Metabolism of the Three Proteogenic Aromatic Amino Acids and Their Role in the Health of Plants and Animals". Frontiers in Molecular Biosciences. 5: 29. doi:10.3389/fmolb.2018.00029. PMC 5897657. PMID 29682508.
  2. Weininger, Ulrich (2019). "Optimal Isotope Labeling of Aromatic Amino Acid Side Chains for NMR Studies of Protein Dynamics". Biological NMR Part A. Methods in Enzymology. Vol. 614. pp. 67–86. doi:10.1016/bs.mie.2018.08.028. ISBN 9780128138601. PMID 30611433. S2CID 58548740.
  3. Möller M, Denicola A (2002-05-01). "Protein tryptophan accessibility studied by fluorescence quenching". Biochemistry and Molecular Biology Education. 30 (3): 175–178. doi:10.1002/bmb.2002.494030030035. ISSN 1539-3429. S2CID 42862291.
  4. Schmid F (April 2001). "Biological Macromolecules: UV‐visible Spectrophotometry" (PDF). Encyclopedia of Life Sciences. Chichester: John Wiley & Sons Ltd. doi:10.1038/npg.els.0003142. ISBN 0470016175.
  5. "Peptide and Amino Acid Quantification Using UV Fluorescence in Synergy HT Multi-Mode Microplate Reader | April 18, 2003". www.biotek.com. Retrieved 2020-03-23.
  6. Xu, Qingping; Biancalana, Matthew; Grant, Joanna C.; Chiu, Hsiu-Ju; Jaroszewski, Lukasz; Knuth, Mark W.; Lesley, Scott A.; Godzik, Adam; Elsliger, Marc-André; Deacon, Ashley M.; Wilson, Ian A. (September 2019). "Structures of single-layer β-sheet proteins evolved from β-hairpin repeats". Protein Science. 28 (9): 1676–1689. doi:10.1002/pro.3683. ISSN 1469-896X. PMC 6699103. PMID 31306512.
  7. Biancalana, Matthew; Makabe, Koki; Yan, Shude; Koide, Shohei (May 2015). "Aromatic cluster mutations produce focal modulations of β-sheet structure". Protein Science. 24 (5): 841–849. doi:10.1002/pro.2657. ISSN 1469-896X. PMC 4420532. PMID 25645104.
  8. 1 2 Han Q, Phillips RS, Li J (2019-04-10). "Editorial: Aromatic Amino Acid Metabolism". Frontiers in Molecular Biosciences. 6: 22. doi:10.3389/fmolb.2019.00022. PMC 6468166. PMID 31024928.
  9. Tzin V, Galili G (2010-05-17). "The Biosynthetic Pathways for Shikimate and Aromatic Amino Acids in Arabidopsis thaliana". The Arabidopsis Book. 8: e0132. doi:10.1199/tab.0132. PMC 3244902. PMID 22303258.
  10. Nielsen LN, Roager HM, Casas ME, Frandsen HL, Gosewinkel U, Bester K, et al. (February 2018). "Glyphosate has limited short-term effects on commensal bacterial community composition in the gut environment due to sufficient aromatic amino acid levels" (PDF). Environmental Pollution. 233: 364–376. doi:10.1016/j.envpol.2017.10.016. PMID 29096310.
  11. Moehn S, Pencharz PB, Ball RO (December 2012). "Lessons learned regarding symptoms of tryptophan deficiency and excess from animal requirement studies". The Journal of Nutrition. 142 (12): 2231S–2235S. doi:10.3945/jn.112.159061. PMID 23077198.
  12. Teymoori F, Asghari G, Mirmiran P, Azizi F (January 2018). "High dietary intake of aromatic amino acids increases risk of hypertension". Journal of the American Society of Hypertension. 12 (1): 25–33. doi:10.1016/j.jash.2017.11.004. PMID 29208471.

Further reading

This article is issued from Wikipedia. The text is licensed under Creative Commons - Attribution - Sharealike. Additional terms may apply for the media files.